Recently, the research team led by Prof. Zhao Weisheng and Prof. Lin Xiaoyang from Beihang University, in collaboration with the team of Prof. Peng Lianmao and Prof. Xu Haitao from Peking University (PKU), has made significant progress in the field of carbon nanotube field-effect transistors (CNTFETs). The research team discovered a phenomenon of γ-ray irradiation-induced performance enhancement in CNTFET devices. The related findings were published in Nature Communications under the title "Boosting carbon nanotube transistors through γ-ray irradiation."

Fig.1 A foundry-compatible strategy for enhancing the performance of CNTFETs through γ-ray irradition
As the advantages of scaling silicon field-effect transistors (FETs) diminish, transistors made from nanomaterials have gained significant attention due to their short-channel immunity and low power consumption. CNTFETs, which use semiconducting carbon nanotubes (s-CNTs) as the channel material, have exhibited superior electrical performance and power efficiency compared to silicon FETs.
Notable advancements in material processing, device fabrication, system-level functionality, and, most recently, successful compatibility with existing silicon manufacturing facilities have positioned CNTFETs on the brink of commercialization in semiconductor foundries. However, the imperfect interfaces between CNTs and dielectrics remain a critical challenge. Induced gap states can facilitate carrier tunneling and trapping, resulting in undesirable power consumption marked by higher off-state current density (Ioff) and increased subthreshold swing (SS) values.

Fig.2 γ-ray irradiation effects on CNTFETs
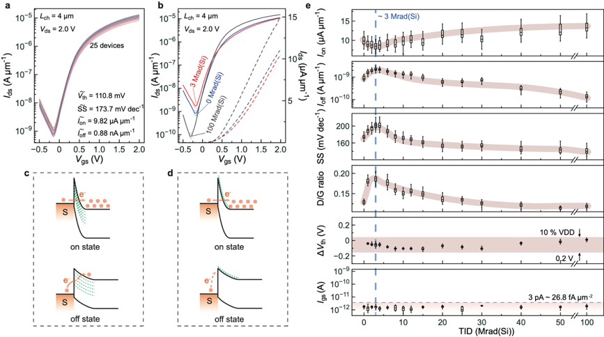
Addressing this challenge, the research demonstrates that organic molecules near the carbon nanotubes can be mitigated by high-energy γ-ray irradiation. The treatment reduces off-state current density to 112.2 pA μm−1, approaching the 100 pA μm−1 low-power target, and achieves an on/off ratio of ~105. The quasi-gate-all-around architecture shows radiation tolerance up to 100 Mrad (Si), surpassing traditional silicon-based devices by over two orders of magnitude. This foundry-compatible strategy operates at room temperature with high throughput, advancing the practical application of nanotube transistors.

Fig.3 Reliable γ-ray irradiation strategy
This study provides an efficient and scalable industrial pathway for CNTFET post-treatment and lays the technical foundation for their deployment in strong radiation environments such as deep space exploration and nuclear energy applications, marking a critical step toward the practical application of carbon nanotube transistors.
This work was jointly completed by the School of Integrated Circuit Science and Engineering, Hangzhou International Innovation Institute, the National Key Laboratory of Spintronics at Beihang University; the School of Electronics and the Center for Carbon-based Electronics at PKU, the Beijing Institute of Carbon-based Integrated Circuits, the Institute of Carbon-based Thin Film Electronics (Shanxi) of PKU; the Beijing Computational Science Research Center; and the Department of Physics and the State Key Laboratory of Low-Dimensional Quantum Physics at Tsinghua University, among other institutions.
Dr. Zhang Ke, a postdoctoral fellow at Beihang University, and Engineer Gao Ningfei from the Beijing Institute of Carbon-based Integrated Circuits are the co-first authors of the paper. Prof. Lin Xiaoyang from Beihang University, Prof. Xu Haitao from the Beijing Institute of Carbon-based Integrated Circuits, and Prof. Peng Lianmao from Peking University are the co-corresponding authors. This work was supported by the National Natural Science Foundation of China, the National Key Research and Development Program of China, and the China Postdoctoral Science Foundation and other projects.
Link to the article:https://www.nature.com/articles/s41467-026-68673-0
Editor: Liu Tingting