A research team led by Professor Geng Lisheng from the School of Physics, in collaboration with Professor Shen Shihang from the Peng Huanwu Collaborative Center for Research and Education at the International Institute for Interdisciplinary and Frontiers, has made significant progress in the study of the tetraneutron resonance system. The related research findings were recently published in Physical Review Letters under the title "Searching for the Tetraneutron Resonance on the Lattice."
The team directly calculated the ground-state energy of the tetraneutron system, using nuclear lattice effective field theory in finite volumes with a lattice size up to L=30 fm. Furthermore, they described the effective interaction between dineutron pairs employing finite-volume scattering theory, thereby analyzing and addressing the long-standing controversy over whether a narrow tetraneutron resonance exists.

Bound nuclear systems conventionally form when protons and neutrons coalesce through the strong interaction. However, the combination of attractive strong interactions and the absence of Coulomb repulsion makes the existence of pure neutron nuclei a plausible concept, a quest that dates back to the early 1960s. Among multineutron systems, the tetraneutron is considered the most likely candidate to exhibit a bound state or resonance, thus attracting extensive theoretical and experimental research. While a bound tetraneutron is generally believed to be excluded, significant controversy remains over whether it might appear as a short-lived resonance.

The tetraneutron system is extremely difficult to analyze theoretically due to the lack of bound subsystems, making it challenging to provide a clear criterion. Whether the peak structures observed experimentally near the threshold correspond to genuine narrow resonances or correlation peaks arising from final-state interactions/dineutron correlations has been a subject of ongoing debate. To address this key issue, the research team systematically investigated the variation of the tetraneutron energy with box size and the behavior of the dineutron - dineutron scattering phase shift, without applying external trapping potentials, instead relying solely on the confinement provided by the finite volume itself.

Using high-precision N3LO interaction and SU(4) interactions, the team systematically calculated the ground-state energy of the tetraneutron for box sizes ranging from 10 fm to 30 fm. A plane-wave initial wave function was employed, and the 0⁺ ground state was extracted via angular momentum projection. The results showed that the tetraneutron ground-state energy decreases continuously and smoothly with increasing box size, without exhibiting the "energy stagnation/platform" feature characteristic of finite-volume resonances, indicating non-resonant behavior. Moreover, the ground-state energies calculated using both interactions were consistent, suggesting that the tetraneutron ground-state energy is not sensitive to the details of the interaction.

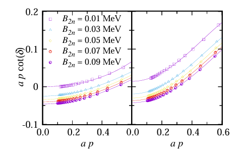
Furthermore, using the Lüscher finite-volume method and the dineutron approximation method, the team computed the neutron–neutron and neutron–dineutron scattering phase shifts and obtained a universal behavior of the ratio between the neutron–dineutron and neutron–neutron scattering lengths. No fragmentation effect was observed, confirming that this method can be used to reliably compute the dineutron–dineutron scattering phase shift.

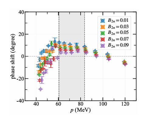
At the smallest relative momenta, the extracted 2n–2n S-wave phase shift is small, consistent with a weak interaction in the dilute limit. At intermediate momenta, it exhibits a weak attraction with a peak of approximately 10° at relative momentum of 60–84 MeV. While this structure does not constitute a resonance, the corresponding confined 4n energy of 1.7–3.3 MeV lies close to the experimentally observed low-energy peak. This provides a possible theoretical explanation that the peak originates from dineutron–dineutron correlations rather than from a narrow resonance.
This work was supported by the National Natural Science Foundation of China, the Fundamental and Interdisciplinary Disciplines Breakthrough Plan of the Ministry of Education of China, and Beihang University, among others.
Link to the article: https://journals.aps.org/prl/abstract/10.1103/89w9-p443
Editor: Liu Tingting