Recently, the research team led by Zhao Weisheng and Lin Xiaoyang from the School of Integrated Circuit Science and Engineering at Beihang University, in collaboration with the team led by Peng Lianmao and Xu Haitao from Peking University, has made significant progress in the field of carbon nanotube (CNT) integrated circuits. The team developed carbon nanotube field-effect transistor (CNTFET) integrated circuits with exceptional radiation resistance. The chip maintained stable and reliable performance even when subjected to extreme radiation doses of up to 6 Mrad (Si). The related findings were published in Science Advances under the title "Large-scale complementary carbon nanotube integrated circuits for harsh radiation environments."

Fig. 1. Large-scale radiation-tolerant complementary CNT ICs
Faced with the severe challenges of radiation-heavy settings, such as deep-space exploration, nuclear power facilities, and radiation-based medical treatments, traditional silicon-based integrated circuits operating in radiation environments require additional and complex hardening configurations, but often experience performance degradation under continuous bombardment by high-energy particles. Carbon nanotubes (CNTs), with their ultrastrong chemical bonds and nanoscale dimensions, are considered an ideal material for building next-generation radiation-resistant electronic devices. In this study, the researchers successfully fabricated radiation-tolerant, highly symmetric, and uniform CNTFET building blocks, through multi-dimensional collaborative optimization from materials to devices and circuits.

Fig. 2. Highly symmetric and uniform CMOS building blocks
Based on this, the team constructed various logic gates, including inverters, NAND gates, and XOR gates, as well as ring oscillators (ROs) with 5, 11, and 501 stages.
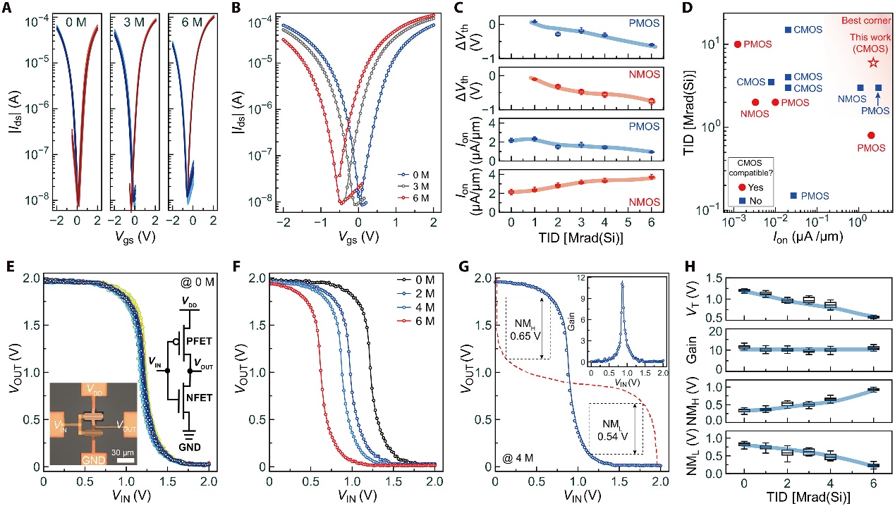
After irradiation up to 6 Mrad (Si), all devices maintained rail-to-rail outputs, and notably, the 501-stage RO, comprising 1004 CNTFETs, showed minimal delay variation (10.3 ± 0.8 ns).

Fig. 3. γ-Ray irradiation on complementary CNTFETs
This breakthrough achievement lays a solid technical foundation for the development of radiation-tolerant carbon-based electronics for extreme environments such as deep space, nuclear energy, and medical fields. It holds significant scientific importance and broad application prospects.

Fig. 4. γ-Ray irradiation on CNT circuits
The paper's co-first authors are Postdoctoral researcher Zhang Ke and Ph.D. candidate Zhou Daming from the School of Integrated Circuit Science and Engineering at Beihang University, and Engineer Gao Ningfei from the Beijing Institute of Carbon-Based Integrated Circuits. The corresponding authors are Professor Lin Xiaoyang from the School of Integrated Circuit Science and Engineering at Beihang University and Xu Haitao from the Beijing Institute of Carbon-Based Integrated Circuits.
This work was supported by the National Natural Science Foundation of China, the National Key Research and Development Program of China, the Postdoctoral Fellowship Program of CPSF, etc.
Link to the article: https://www.science.org/doi/10.1126/sciadv.adw0024
Editor: Liu Tingting